Investigadores descubrieron una doble carga de malnutrición infantil en el país
Por Cristina Márquez
El hallazgo de indicios de desnutrición crónica infantil y obesidad infantil, los dos problemas en un mismo niño, impactó a los expertos que estudian la situación nutricional de los infantes en Ecuador.
El descubrimiento de la doble carga de malnutrición infantil se difundió en la edición de la revista científica Clinical Nutrition del 9 de mayo de 2023 y pone en evidencia un nuevo problema que afecta el desarrollo motriz y cognitivo de los niños.
Nutricionistas, médicos, pediatras, psicólogos y otros expertos se aliaron para llevar a cabo la investigación, que duró más de un año. Ellos pertenecen a la Escuela Superior Politécnica de Chimborazo (Espoch) y a otras academias de Argentina, Chile, Cuba y Noruega.
Los investigadores procesaron los datos de 5 900 infantes de las cuatro regiones del país, que fueron recabados en el 2018 en la Encuesta Nacional de Salud y Nutrición (Ensanut).
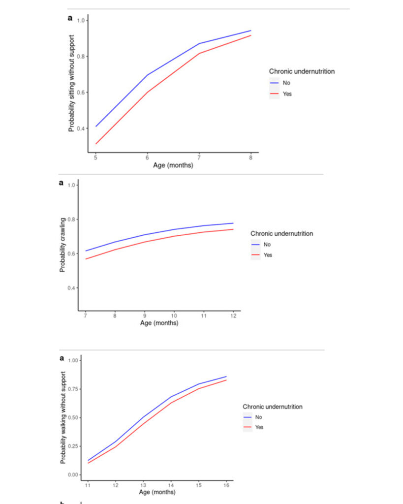
El estudio confirmó, además, los efectos de la malnutrición infantil en la motricidad gruesa. Los expertos identificaron un retraso en el logro de los hitos del desarrollo en los niños que tienen desnutrición crónica (DCI).
Obesidad y desnutrición: el resultado de la mala alimentación
Valeria Carpio, investigadora de la Espoch, explica que el cuadro de obesidad y desnutrición en un mismo niño pudo deberse a la falta de asesoría de un especialista.
“Cuando los papás descubren que sus hijos han caído en la desnutrición crónica se desesperan y empiezan a darles alimentos como harinas, fideos, y otros hidratos de carbono, para que suban de peso. Esto es contraproducente, el menú de los niños debe ser balanceado e incluir, especialmente, proteínas“, afirma Carpio.
Según ella es indispensable que más especialistas en nutrición se incorporen a la red pública de salud, para que puedan identificar casos como este. Además, pueden ofrecer asesoría personalizada a los padres sobre el tipo de alimentación que deben tener los niños, según su edad y necesidades.
El indicador que apunta a que un niño tiene desnutrición y obesidad es la talla baja para su edad y el sobrepeso. Sin embargo, se requieren varios estudios adicionales para confirmar este cuadro, que sólo pueden ser efectuados por expertos.
El estudio también concluye que los niños que padecieron desnutrición crónica infantil en sus primeros meses de vida son más vulnerables a caer en la obesidad. Eso se debe a la talla baja.
“Sabemos que la DCI es un problema complejo y multicausal, que no solo se debe a la mala alimentación, sino a la falta de agua segura, a las prácticas de higiene, a la crianza y a otros factores. Al intentar solucionarlo consumiendo alimentos sin ninguna guía surge este otro problema: la obesidad”, explica Carpio.

La lonchera escolar es clave para evitar la obesidad
Mientras la DCI es irreversible después de los 1.000 días de vida, la obesidad infantil sí se puede combatir. Según los expertos, los alimentos que se eligen para la lonchera escolar son claves para desarrollar buenos hábitos alimenticios.
Carpio sostiene que en los niños se debe evitar al máximo el consumo en exceso de azúcares, como gaseosas y refrescos, así como de carbohidratos simples y harinas refinadas, contenidas en galletas, barras y fideos.
La lonchera escolar debe incluir un lácteo, una fruta, una fuente de proteína y un carbohidrato, y es mucho mejor si este último es con base en harinas integrales, yuca o verde. Hay que minimizar los alimentos ultra procesados.
“El refrigerio ideal no está al alcance de todas las familias en el Ecuador y eso es parte del problema, sin embargo, hay alimentos con altas cargas proteicas como el huevo y el chocho, que son más accesibles”, dice Carpio.
Ella explica otro problema común en los niños es la deficiencia de hierro y micronutrientes presentes en vegetales y frutas.


Los hitos del desarrollo se alcanzan más tarde por la desnutrición
El estudio efectuado por los académicos comprobó lo que ya se temía sobre la desnutrición crónica infantil: su efecto sobre la motricidad gruesa.
Los expertos estudiaron minuciosamente las edades a las que los infantes logran sentarse, gatear, pararse y caminar con apoyo, y pararse y caminar sin apoyo. Las cifras mostraron que los niños con DCI alcanzan esos hitos del desarrollo más tarde, en comparación con los niños bien nutridos.
Valeria Carpio explica que los hitos del desarrollo, que normalmente se alcanzan entre los ocho y 12 meses de vida, están relacionados con el desarrollo neuronal del niño. Cuando hay una menor probabilidad de desarrollarlos a tiempo se evidencia un deterioro cognitivo.
“Sentarse, gatear, pararse y caminar muestran el nivel cognitivo del niño, alcanzar los hitos más tarde significa que aprenderán todo más tarde”, afirma.
El estudio aplicado a una muestra de infantes menores a los dos años de edad reflejó que no hay diferencias étnicas en los efectos de la DCI, sobre las capacidades motrices.
Todos los niños con desnutrición analizados, de las cuatro regiones del país, mostraron una menor probabilidad de alcanzar los cuatro hitos a tiempo.
Científicos también estudian la relación entre la desnutrición infantil y la microbiota
Otra investigación, cuyos resultados se conocerán a finales de este año, está en curso.
Este nuevo estudio, también efectuado por 20 académicos de la Facultad de Salud de la Espoch y de otras universidades del país, busca la relación entre la microbiota intestinal de los niños (parásitos y microorganismos benéficos) y la DCI.
Los investigadores analizan muestras y datos de 500 niños de todas las regiones, incluyendo Galápagos, para identificar los microorganismos presentes con más regularidad en los niños y la relación de estos con la salud mental y física, así como el estado nutricional de los pequeños.
Algunos resultados preliminares revelan que el 70% de los niños que son parte de la muestra del estudio están parasitados.
“Hemos encontrado parásitos bastante extraños que se pensaba que no eran comunes. Este estudio es muy ambicioso y esperamos, con los resultados, determinar otros factores de riesgo que inciden en la DCI”, dice Carpio.

Lee más de Youtopía
- El Día Mundial de los Océanos convoca a iniciativas a favor de la conservación
- La elaboración de un plan estratégico por la nueva infancia hasta el 2030 se pone en marcha
- 13 países pescan alrededor de las islas Galápagos; nueve de ellos lo hacen en la Reserva Marina
- El crecimiento de la agricultura se ha basado en gran medida en los fertilizantes y pesticidas
- El Chocó, uno de los ecosistemas más ricos del planeta, se muestra en una publicación